Типстеры часто обещают высокие коэффициенты, которые принесут вам целое состояние. И хотя обещание большого выигрыша звучит заманчиво, как отличить типстера, который поможет вам заработать, от обычного торговца? Прочитайте статью и узнайте, на какие два фактора следует обращать внимание, прежде чем выбрать специалиста, которому можно доверять.

В предыдущей статье Марк Тэйлор (Mark Taylor) объяснил, каким образом размещение ставок зависит от везения и всегда ли выигрыш зависит от умелого размещения ставок. Используя в качестве примера подбрасывание монеты, Марк воспользовался калькулятором с функцией биномиального распределения для расчета вероятности выигрыша после размещения десяти последовательных ставок.
Биномиальное распределение хорошо подходит для предложений 50 на 50, например при размещении ставок на разницу в счете или на рынках ставок азиатского гандикапа, где коэффициенты для каждой команды будут примерно 1:1 или немного ниже после применения букмекером маржи ставки. Однако часто игроки ставят на абсолютно разные коэффициенты с абсолютно разными суммами ставок, например денежная линия 1X2 в футболе или размещение ставок на теннисные матчи.
В таких обстоятельствах мы можем рассчитывать на так называемое распределение Стьюдента и критерий Стьюдента для оценки статистического значения, для которой он используется. В этой статье я объясняю, каким образом следует использовать распределение Стьюдента для оценки эффективности типстера.
История выигрышей типстера
Распределение Стьюдента очень похоже на распределение Гаусса (колоколообразная кривая), и для ставок свыше 30 является во всех отношениях тем же самым. Критерий Стьюдента определяет, какова вероятность случайного выигрыша в результате серии ставок.
Выигрыш в размере 120 % от 100 ставок с коэффициентом 10 или выше является, вероятнее всего, следствием везения. Такой же выигрыш от ставок с благоприятным прогнозом для выигрыша – показатель профессионализма.
Чем ниже вероятность выигрыша, тем скорее, что причиной этого выигрыша стало что угодно, кроме профессионализма игрока. Критерий Стьюдента всего лишь сравнивает фактический выигрыш игрока с теоретически ожидаемым (учитывая только случайность) в условиях рынка размещения ставок.
Обычно это проигрыш, равный букмекерской марже, или же выход в ноль, если игрок удосужится найти лучшие ставки, воспользовавшись инструментом сравнения ставок. Итоговый T-показатель затем анализируется для определения того, является ли разница статистически значимой.
Должно быть интуитивно очевидно, что чем выше вероятность, тем больше T-показатель и тем история размещения ставок имеет большее статистическое значение. Другими словами, скорее всего, в этой ситуации свою роль сыграл профессионализм. T-показатель прямо пропорционален среднему значению выигрыша игрока, превышающему ожидание.
Аналогично чем дольше история (эквивалентного выигрыша), тем вероятнее, что удача здесь не при чем. Представьте, например, двух игроков с выигрышам по ставкам в размере 120 %. Первый получил его от 10 ставок, второй – от 1000. Кто из них, скорее всего, окажется, профессиональным игроком?
Если сомневаетесь, вспомните ситуацию с подбрасыванием монетки. Выпадение орла шесть или более раз из 10 подбрасываний очевидно более вероятно, чем выпадение 600 или более раз из 1000 подбрасываний, исходя только из случайности. При выпадении орла 600 или более раз возникает обоснованное подозрение, что монета несимметрична.
Аналогично мы, скорее всего, сделаем вывод, что игрок с продолжительной историей выигрышей, является профессионалом. T-показатель фактически пропорционален квадратному корню из нескольких ставок.
Высокие и низкие коэффициенты
Коэффициенты ставок влияют на вероятность выигрыша. На самом деле выигрыш по ставкам в размере 120 % при коэффициенте равном приблизительно 1,25 будет скорее свидетельствовать о профессионализме, чем такой же выигрыш при коэффициенте равном приблизительно 5. Размещение ставок на команды с более низкой вероятностью выигрыша (более высокие коэффициенты) по определению более рискованно (учитывая равные суммы ставок), поскольку в этом случае высока вероятность случайной изменчивости.
Другими словами, выигрыши более непостоянны. Из 21 победителя при ставке 5,00 19 игроков получат выигрыш в размере 95 % или 105 % соответственно. Для сравнения 79 из 81 победителей при ставке 1,25 получат прибыль от оборота в размере 98,75 % или 101,25 %. Размещение ставок на более высокие коэффициенты подразумевает больший риск для получения большего вознаграждения.
Мы можем увидеть влияние коэффициентов ставок с помощью стандартного отклонения в выигрышах и проигрышах в истории размещения ставок. Для стратегии размещения ставок стандартное отклонение может быть приблизительно определено с помощью следующего выражения.

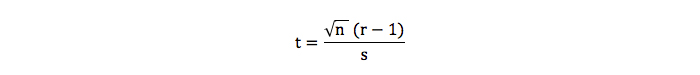
Где o является средним коэффициентом в истории размещения ставок, а r – фактический выигрыш игрока. Стандартное отклонение в выигрышах и проигрышах, при размещении ставок с коэффициентом 5 в восемь раз больше, чем при размещении ставок с коэффициентов 1,25. Предположив, что ожидаемые выигрыши (основанные только на везении) составят 100 % (или будет достигнут уровень безубыточности), Т-показатель можно найти с помощью следующего уравнения:

Где n – количество ставок. Следовательно, Т-показатель для эквивалентных выигрышей и продолжительность истории размещения ставок будут в более чем восемь раз меньше при размещении ставок с коэффициентом 5 по сравнение с коэффициентом 1,25.
Становится ясно, что более высокая прибыль, полученная в результате размещения ставок с более высоким коэффициентом (типично для скачек) не обязательно свидетельствует о большем таланте прогнозирования. При таком же везении можно получить выигрыш с большим процентным показателем.
Поэтому сравнения историй размещения ставок с учетом лишь процентных показателей выигрышей, принятые при оценке типстеров, является в корне неверной тактикой. При учете коэффициентов ставок и Т-показателя можно получить значение величины выигрыша с учетом риска, превышающее ожидаемое.
Расчет везения
На последнем этапе необходимо преобразовать Т-показатель в величину вероятности (p-величина), которая могла увеличиться только случайно на протяжении истории выигрышей. Пользователи Microsoft Excel могут воспользоваться функцией СТЬЮДРАСП. Функция СТЬЮДРАСП: (t, степени свободы, хвосты), где t – T-показатель, степени свободы – количество независимых фрагментов данных, равные количеству ставок минус 1.
Аргумент хвостов может равняться одному (для одностороннего распределения) или двум (для двухстороннего распределения). Поскольку нас в основном интересует, является ли выигрыш статистически значимым, то в этом случае для нас предпочтительнее первый вариант. Или же можно ввести эти значения в соответствующий онлайн-калькулятор.
В таблице ниже приведено несколько примеров T-показателей и соответствующих им p-величин для истории с размещением 100 ставок с выигрышем по ставкам в размере 120 %
| Коэффициенты | t-показатель | p-величина |
| 1.5 | 3.33 | 0.06% |
| 1,75 | 2.46 | 0.78% |
| 2 | 2.04 | 2.19% |
| 2,5 | 1.60 | 5.63% |
| 3 | 1.36 | 8.83% |
| 4 | 1.09 | 13.89% |
| 5 | 0,94 | 17.56% |
| 10 | 0,62 | 26.98% |
| 25 | 0,37 | 35.45% |
| 50 | 0,26 | 39.72% |
Очевидно, среднее значение коэффициентов ставок в значительной степени определяют, является ли выигрыш по ним везением или профессионализмом. Выигрыш в размере 120 % по 100 ставкам с коэффициентом 10 или выше должен несомненно считаться следствием везения.
В то же время если игрок получил такой же выигрыш при размещения ставок с благоприятным прогнозом для выигрыша, с гораздо большей вероятностью можно сказать, что выигрыши стали результатом профессионализма. Следовательно, при сравнении историй размещения ставок, например типстеров, недостаточно просто проанализировать процентные показатели выигрышей. Необходимо также изучить историю выигрышей и коэффициенты при которых они были получены.
СМОТРИТЕ ТАКЖЕ: ТОП 100 БУКМЕКЕРСКИХ КОНТОР >>>
СМОТРИТЕ ТАКЖЕ: ТОП 20 КРИПТОВАЛЮТНЫХ БУКМЕКЕРОВ >>>
СМОТРИТЕ ТАКЖЕ: БУКМЕКЕРЫ ДЛЯ КИБЕРСПОРТА >>>
Источник: pinnacle.com


